Aviso de chamamento público Detran – TO nº 1/2026

AVISO DE PRORROGAÇÃO “SINE DIE”
A Agência de Transportes, Obras e Infraestrutura, por meio da Comissão de Contratação, torna público que foi prorrogada “Sine Die”, a data da abertura do certame abaixo:


Processo nº 2025/27000/022435
Modalidade: Concorrência Eletrônica nº 90051/2025
Uasg: 926164
Objeto: Contratação de empresa especializada em construção civil e instalações elétricas, para a execução de obra referente a conclusão da obra do Centro Profissionalizante na cidade de Arraias -TO.
Agente de Contratação: Josivanda Barreira de Macedo.


A prorrogação ocorre conforme consta nos autos. Outras informações poderão ser obtidas, através do telefone: (63) 9 9963-2060.


Palmas/TO, 10 de fevereiro de 2026.
KÁSSIA DIVINA PINHEIRO BARBOSA
Presidente da Comissão de Contratação

PORTARIA/Nº 07/2026/GABPRES/AMETO, DE 13 DE FEVEREIRO DE 2026.

O PRESIDENTE DA AGÊNCIA DE MINERAÇÃO DO ESTADO DO TOCANTINS no uso das atribuições legais que lhe confere o art. 40, §1º, inciso X da Constituição do Estado do Tocantins, designado pelo Ato Nº 3.565 – NM, DOE 6.967, de 23 de dezembro 2025.


RESOLVE:


Art. 1º Designar o servidor Marciongley Neres da Silva – matrícula nº 11602562-5, lotado na diretoria de fiscalização e informação, da Agência de Mineração do Estado do Tocantins – AMETO, para
ser responsável pelos veículos, escala de motoristas e cartões de abastencimentos, bem como todo e qualquer assunto relacionado à Transporte, da Agência de Mineração do Estado do Tocantins.

Art. 2° Revoga-se a Portaria 03/2026/GABPRES/AMETO publicada no Diário Oficial do estado do Tocantins n° 6.977, de 13 de janeiro de 2026.


Art. 3º Esta Portaria entra em vigor na data de sua publicação.

GABINETE DO PRESIDENTE DA AGÊNCIA DE MINERAÇÃO – AMETO em Palmas – TO, aos 13 dias do mês de fevereiro de 2026.

CARLOS EDUARDO NOGUEIRA DE MORAES
Presidente da Agência de Mineração do Estado do Tocantins – AMETO

AVISO DE CHAMAMENTO PÚBLICO Nº 1/2026.


O PRESIDENTE DO DEPARTAMENTO ESTADUAL DE TRÂNSITO DO TOCANTINS – DETRAN/TO, consoante disposto no Ato nº 3.257 – NM, de 12 de dezembro de 2025, publicado na Edição nº 6.960 do Diário Oficial do Estado, no uso das atribuições legais, torna público que dará início ao credenciamento de pessoas jurídicas de direito público ou privado, para execução da atividade de Vistoria de Identificação Veicular, a partir de 12 de fevereiro de 2026.


O Edital e seus anexos estarão disponíveis no site: https://www.to.gov.br/detran.


Em caso de eventuais dúvidas e informações complementares poderão ser obtidas pelo telefone: (63) 3027-4149, ou através do e-mail:
gercredto@gmail.com.
Palmas/TO, 9 de fevereiro de 2026.
HERCY AYRES RODRIGUES FILHO
Presidente do Detran/TO

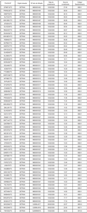
EDITAL DE NOTIFICAÇÃO DE AUTUAÇÃO DE INFRAÇÃO DE TRÂNSITO Nº 002196/2026


O Departamento Estadual de Trânsito, com base nas competências elencadas nos arts. 21 e 281 da Lei nº 9.503/97 – CTB, e também nas disposições da Lei nº 9.873/99, resolve dar ciência dos respectivos Autos de Infração constantes do edital e estabelece o prazo de 30 dias para interposição de recursos. Os dados das infrações de trânsito estão na seguinte ordem: Placa/UF; Orgão Autuador; Nº Auto de Infração; Data do cometimento; Hora Cometimento e Código/Desdobramento. Demais informações e segunda via das notificações devem ser obtidas através do endereço eletrônico multas@detran.to.gov.br.

Vistoria Veicular

Precisa de mais informações?